La herramienta Resumir atributos resume valores de campos similares para generar una tabla de resumen. La capa resultante muestra el recuento de las entidades que se han resumido, así como cualquier otra estadística adicional que se haya especificado.
Diagrama de flujo de trabajo

Análisis mediante GeoAnalytics Tools
El análisis mediante GeoAnalytics Tools se ejecuta con el procesamiento distribuido en varios equipos y núcleos de ArcGIS GeoAnalytics Server. Las GeoAnalytics Tools y las herramientas de análisis de entidades estándar de ArcGIS Enterprise tienen parámetros y capacidades diferentes. Para obtener más información sobre las diferencias, consulte Diferencias de las herramientas de análisis de entidades.
Ejemplos
Los tornados y huracanes son algunos de los tipos de tormentas más violentos que se producen en Estados Unidos. Quiere conocer los daños materiales y las pérdidas financieras derivados de los tornados y huracanes para comparar su impacto. Tiene acceso a los datos de los tornados y huracanes en Estados Unidos en un único dataset y desea resumir toda la información para ver un resumen de los valores para todos los huracanes y un resumen de los valores para todos los tornados. Puede resumir los datos utilizando el tipo de tormenta para determinar las estadísticas para cada tipo de tormenta.
Notas de uso
Resumir atributos es una herramienta de análisis tabular, no espacial.
Para las agregaciones más básicas se calculará un recuento del número de entidades que se han resumido. Las estadísticas (recuento, suma, mínimo, máximo, rango, valor medio, desviación estándar y varianza) también se pueden calcular en campos numéricos y las estadísticas (recuento y cualquiera) se pueden calcular en campos de cadena de caracteres. Las estadísticas se calcularán por separado para cada grupo.
Puede especificar uno o más campos por los que resumir, o bien resumir todas las entidades. Cuando se resume por campos, las estadísticas se calculan para cada combinación única de valores de atributos.
La referencia espacial de procesamiento y la referencia espacial de los datos de entrada no afectarán a los resultados.
Si Usar la extensión del mapa actual se ha activado, solo se analizarán las entidades que estén visibles en la extensión de mapa actual. Si está desactivada, se analizarán todas las entidades de entrada de la capa de entrada, aunque estén fuera de la extensión de mapa actual.
Limitaciones
Las entradas pueden ser una capa tabular o una capa con geometría (puntos, líneas o áreas).
Puede aplicar esta herramienta a datos espaciales y obtendrá un resultado tabular. Puede unir los resultados a datos espaciales utilizando Unir entidades.
Cómo funciona Resumir atributos
Ecuaciones
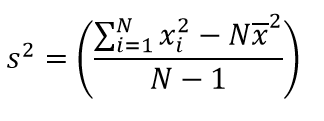
La varianza se calcula usando la siguiente ecuación:

La desviación estándar se calcula como la raíz cuadrada de la varianza.
Cálculos
Las capas de entrada se resumen en grupos con valores de campos coincidentes. Los resultados son tabulares, de modo que no se pueden visualizar en el mapa.
En las tablas de abajo se ilustran los cálculos estadísticos de una capa que se ha resumido utilizando valores similares de campos. El campo VO2 se utilizó para calcular las estadísticas numéricas (Recuento,Suma, Mínimo, Máximo, Rango, Valor medio, Desviación estándar y Varianza) para la capa. El campo Rating se utilizó para calcular las estadísticas de cadena de caracteres (Recuento y Cualquiera) para la capa.

La tabla anterior se resumió en el campo Designation y el campo VO2 se utilizó para calcular las estadísticas numéricas (Recuento,Suma, Mínimo, Máximo, Rango, Valor medio, Desviación estándar y Varianza) para la capa. El campo Rating se utilizó para calcular las estadísticas de cadena de caracteres (Recuento y Cualquiera) para la capa. El resultado es una tabla con dos entidades, que representan los distintos valores de Designation.

En la tabla siguiente se representa el aspecto de los primeros campos cuando la capa se resume con los campos Designation y Age Group. Las estadísticas se calculan utilizando los mismos métodos que en el ejemplo anterior.

La estadística de recuento (para campos de cadena de caracteres y numéricos) cuenta el número de valores no nulos. El recuento de los siguientes valores es de 5: [0, 1, 10, 5, null, 6] = 5. El recuento de este conjunto de valores es de 3: [Primary, Primary, Secondary, null] = 3.
Ejemplo de ArcGIS API for Python
La herramienta Resumir atributos está disponible a través de ArcGIS API for Python.
En este ejemplo se resumen los tipos similares de tormentas para obtener la suma de daños materiales.# Import the required ArcGIS API for Python modules import arcgis from arcgis.gis import GIS from arcgis.geoanalytics import summarize_data
# Connect to your ArcGIS Enterprise portal and check that GeoAnalytics is supported portal = GIS("https://myportal.domain.com/portal", "gis_publisher", "my_password", verify_cert=False) if not portal.geoanalytics.is_supported():
print("Quitting, GeoAnalytics is not supported") exit(1)
# Find the big data file share dataset you're interested in using for analysis search_result = portal.content.search("", "Big Data File Share")
# Look through search results for a big data file share with the matching name bd_file = next(x for x in search_result if x.title == "bigDataFileShares_NaturalDisaters")
# Look through the big data file share for Storms storms = next(x for x in bd_file.layers if x.properties.name == "StormData")
# Set the tool environments arcgis.env.verbose = True arcgis.env.defaultAggregations = True
summaryStatistics = [{"statisticType" : "Sum", "onStatisticField" : "PropertyDamage"}]
summarized_result = summarize_data.summarize_attributes(input_layer = storms, fields = "Storm_type",
summary_fields = summaryStatistics, output_name = "summarized_storms")
# Visualize the tool results if you are running Python in a Jupyter Notebook processed_map = portal.map('USA') processed_map.add_layer(summarized_result) processed_map
Herramientas similares
Utilice Resumir atributos para resumir entidades con valores similares. Existen otras herramientas que pueden resultar de utilidad para solucionar problemas similares, aunque ligeramente diferentes.
Herramientas de análisis del Map Viewer
Si está intentando resumir puntos, líneas o áreas utilizando distintas relaciones espaciales, utilice la GeoAnalytics Tools Unir entidades.
Herramientas de análisis de ArcGIS Desktop
La GeoAnalytics Tools Resumir atributos está disponible en ArcGIS Pro.
Resumir atributos realiza las funciones de la herramienta Resumir estadísticas.